身份证号的“X”到底咋读?

作者:拓荒牛 分类:默认分类 时间:2026-03-30 23:10
软件著作权服务中心-智慧企业 - 服务中心

大家好,我是今天代班的 “户籍云小警”。

在派出所户籍窗口待久了,总会被大家问到一些有趣的问题。

比如:“同志,为啥我家孩子身份证尾号是X,我全家都是数字啊?”,比如“警察叔叔,是不是因为我特别厉害?是X战警”,又比如“我身份证后两位是2X,每次报证件号都会被对象闺蜜笑(知道是无恶意的,自己也很想笑)”

每当这个时候,我都要深吸一口气,开启硬核但有趣的科普。

今天我们就来聊聊,身份证号码最后那个奇怪的“X”,它怎么读?它到底是谁?它背后的秘密是什么?

对于它的发音,在我们生活中,似乎没有人在意,“埃克斯”“叉”“西”……念什么的都有。

那么,身份证上的公民身份号码,最后一位“Ⅹ”,哪个发音才是正确的?

“Ⅹ”表示的是罗马数字“10”,读作shí最为妥当。

它是罗马数字的基本符号之一,代表数字10。关于“X”的起源,有一种说法是源于两个“V”(代表5)的叠加,也有人认为它象征交叉的双臂。

罗马数字图表

有人开玩笑说,身份证号码带“X”的朋友,可能是“天选之子”。但这个“X”一点也不神秘,全靠前17位“大哥”撑腰。

身份证的最后一位,其实是个“校验码”,通过身份证前17位数字推算出来的。

公民身份号码结构丨国家标准《公民身份号码》GB11643—1999这套算法采用的是MOD 11-2(取模11)国家标准算法,通过加权求和、取余换算后,校验码字符值会在0到10之间。

问题来了,如果校验码算出是10,直接写成“10”的话,这一位就占了两个数字的位置,身份证号码就变成19位了,这不符合国家标准规定的18位格式。

于是, 罗马数字“X”就这样水灵灵地出现了,被派来顶替数字10的位置。

温馨提示:如果你晕公式,可以跳过这段……

身份证最后一位的算法采用的是 ISO 7064 《数据处理——校验符系统》中给出的 MOD 11-2 校验码系统。这里的MOD 11-2表示模数是11,基数是2。也就是校验公式(见下)中,需要将总数除以11(模数)并取余数,而每个位置上的加权因子是通过以2(基数)为底的几何级数算出来的。

公民身份号码校验公式丨国家标准《公民身份号码》GB11643—1999身份号码中的校验码位于最右边,所以它位置序号i=1,对应的加权因子W1也等于1。按照公式,我们需要将身份证号码中其他各个位置上的数字都乘以对应的因子,把它们加起来得到总数,再将总数除以11并取余数。如果这个余数加上校验码(乘1还是本身)以后,除以11的余数是1,那就说明这个号码能够满足公式的校验。

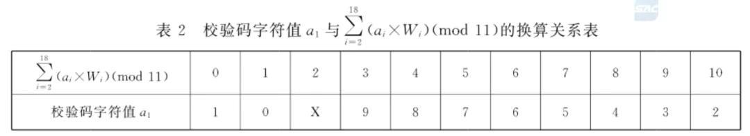
为了方便计算,国家标准中直接给出了校验码a1和余数的换算关系对应表:

国家标准《公民身份号码》GB11643—1999

国家费这么大劲,其实就是为了防错。

因为你填身份证号码时,可能出现各种错误,除了漏字、多字这种位数显而易见的错误外,输错数字都不容易被发现。

但系统会悄悄把前17位重新算一遍,发现跟最后一位对不上,立马报错。甚至还可以识别出相邻两位填反、错位等错误。

一个小小的校验码,就是身份证系统的“保安”。平时不吭声,你一错它立刻吹哨。

所以各位“X战警”们,下次再有人问“你身份证怎么还有个叉啊?”

请挺起胸膛告诉他:“这不是叉,这是罗马数字10!我是经过国家认证、数学算法加持的‘完美校验码选手’!”

毕竟,这串号码可不只是冷冰冰的数字,它更是每一个独一无二、闪闪发光的你。

云南警方)

当前用户暂时关闭评论 或尚未登录,请先 登录注册
暂无留言
版权所有:拓荒族 晋ICP备17002471号-6